產品介紹 | PRODUCTS
聯系我們 | CONTACT US
- 內貿部:18953701056 (劉廣臣)
- 外貿部:18063200578 (任真真)
您所在的位置:
首頁 >>
產品介紹 >>
聚羧酸類阻垢分散劑、水性分散劑 >>
AA-AMPS-HPA三元共聚物產品介紹
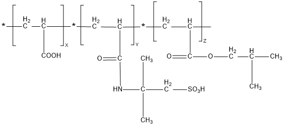
羧酸-磺酸-丙烯酸酯三元共聚物
Carboxylic - Sulfonate - Acrylate Terpolymer
化學組成:AA-AMPS-HPA三元共聚物
一、性能與用途
AA-AMPS-HPA三元共聚物是一種新型的含有多種官能團的聚電解質阻垢分散劑。由于在共聚物的分子鏈上同時含有強酸、弱酸與非離子基團,本產品在高溫、高pH、高硬與高堿條件下具有較高的鈣容忍度,對水中的碳酸鈣、磷酸鈣、鋅垢、氧化鐵以及泥沙等污垢的沉積,具有優良的抑制作用和分散性能,可替代T-225和一些常規的磺酸共聚物使用。AA-AMPS-HPA三元共聚物與聚磷酸鹽、鋅鹽、有機膦酸鹽等常用水處理劑配伍性能良好,尤其是可與鋅鹽大劑量復配,穩鋅率高,從而提高了藥劑對碳鋼的緩蝕率,已被廣泛用于鋼鐵、石化、電力、油田、煤炭等行業的復雜水質的處理中。
二、技術指標
| 項 目 | 指 標 |
| 外觀 | 無色至淡黃色透明液體 |
| 固體含量/% | ≥30.0 |
| pH(1%水溶液) | 2.0~4.0 |
| 密度(20℃)/ g·cm-3 | ≥1.1 |
| 游離單體(以AA計)/% | ≤0.5 |
三、使用方法
AA-AMPS-HPA三元共聚物阻垢分散劑正常用量為10~30 mg/L,具體用量視不同水質條件而定,可與鋅鹽和有機膦酸(鹽)配合使用,適用pH條件為7.0~9.5。作為分散氧化鐵使用時,投加量一般為80~100 mg/L,特定應用時添加量需根據實際試驗而定。
四、包裝與貯存
AA-AMPS-HPA三元共聚物用塑料桶包裝,每桶25kg、200kg或1000kg (可以根據需要確定)。貯于室內陰涼處,貯存期為十個月。
五、安全防護
AA-AMPS-HPA三元共聚物為弱酸性,操作時注意勞動保護,應避免與皮膚、眼睛等接觸,接觸后立即用大量清水沖洗。
銷售熱線:0632-5113088 銷售傳真: 0632-5113155
地址:山東省棗莊市市中區十里泉東路1號 網址:http://www.zc8899.cn E-mail:th@thwater.com
版權所有© :2006-2021 山東泰和科技股份有限公司 魯ICP備09091669號-43
地址:山東省棗莊市市中區十里泉東路1號 網址:http://www.zc8899.cn E-mail:th@thwater.com
版權所有© :2006-2021 山東泰和科技股份有限公司 魯ICP備09091669號-43



