產品介紹 | PRODUCTS
聯系我們 | CONTACT US
- 內貿部:18953701056 (劉廣臣)
- 外貿部:18063200578 (任真真)
您所在的位置首頁 >>
產品介紹 >>
有機膦系列阻垢緩蝕劑、螯合劑 >>
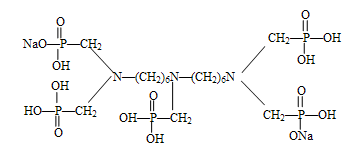
BHMTPh·PN (Na2)產品介紹
雙1,6-亞己基三胺五甲叉膦酸鈉 BHMTPH·PN (Na2)
別名:二己烯三胺五亞甲基膦酸鈉 CAS No. 35657-77-3
分子式 C17H42O15N3P5Na2 相對分子質量:約731
一、產品性能
BHMTPH·PN(Na2)是高效的螯合型阻垢劑,對碳酸鹽垢和硫酸鹽垢具有良好的阻垢效果。在較寬的pH范圍和120℃高溫下有極佳的水溶性和熱穩定性,對鈣離子容忍度高。BHMTPH·PN(Na2)是油田水處理中的緩蝕阻垢劑,工業循環冷卻水和鍋爐水的阻垢緩蝕劑。
二、質量指標
| 項 目 | 指 標 |
| 外 觀 | 深棕色液體 |
| 活性組分(以BHMTPMPA計) /% | 35.0~39.0 |
| pH值(1%水溶液) | 2.5~4.5 |
| 密度(20℃)/g·cm-3 | 1.21~1.31 |
| Fe含量(以Fe計) /mg·L-1 | ≤65.0 |
三、使用方法
單獨使用或與聚羧酸型阻垢分散劑配合使用。
四、包裝與儲存
BHMTPH·PN(Na2)用塑料桶包裝,每桶25Kg或根據用戶需要確定。貯于室內陰涼處,貯存期為十個月。
五、安全防護
BHMTPH·PN(Na2)為弱酸性,操作時注意勞動保護,應避免與皮膚、眼睛等接觸,接觸后用大量清水沖洗。
銷售熱線:0632-5113088 銷售傳真: 0632-5113155
地址:山東省棗莊市市中區十里泉東路1號 網址:http://www.zc8899.cn E-mail:th@thwater.com
版權所有© :2006-2021 山東泰和科技股份有限公司 魯ICP備09091669號-43
地址:山東省棗莊市市中區十里泉東路1號 網址:http://www.zc8899.cn E-mail:th@thwater.com
版權所有© :2006-2021 山東泰和科技股份有限公司 魯ICP備09091669號-43


